Peran leadership dan collaboration dalam mendukung digital skill pengusaha muda di era pandemi Covid-19
Abstract
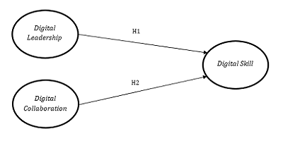
The Covid-19 pandemic has disrupted global establishment by accelerating digital transformation, forcing many entrepreneurs to undergo significant transformations. This study aims to determine the influence of digital leadership and collaboration on young entrepreneurs' digital skills in the Covid-19 pandemic era. The empirical analysis was conducted using non-probability sampling and obtained 150 millennial entrepreneurs. After passing the reliability and validity tests, the data were analyzed using multiple linear regression analysis techniques. The results show that digital collaboration has a significant influence on the skills of young entrepreneurs. Meanwhile, digital leadership has no significant effect on digital skills. Furthermore, contributions for digital collaboration practitioners and policymakers play an essential role in improving the digital skills of young entrepreneurs in the Covid-19 Pandemic era.
Downloads
											




